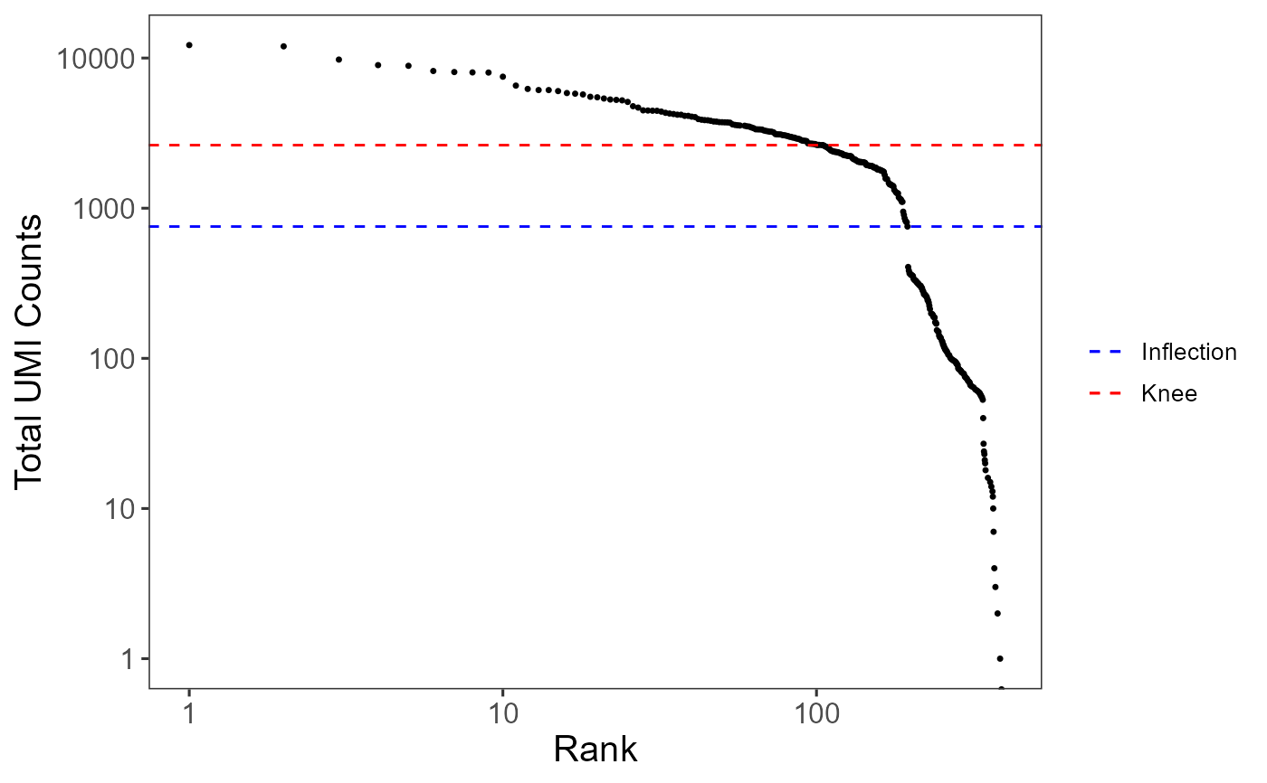
A plotting function which visualizes outputs from the runBarcodeRankDrops function stored in the colData slot of the SingleCellExperiment object via scatterplot.

plotBarcodeRankScatter(
  inSCE,
  sample = NULL,
  defaultTheme = TRUE,
  dotSize = 1,
  title = NULL,
  titleSize = 18,
  xlab = NULL,
  ylab = NULL,
  axisSize = 12,
  axisLabelSize = 15,
  legendSize = 10,
  combinePlot = "none",
  sampleRelHeights = 1,
  sampleRelWidths = 1
)

Arguments

inSCE

Input SingleCellExperiment object with saved dimension reduction components or a variable with saved results from runBarcodeRankDrops. Required.

sample

Character vector. Indicates which sample each cell belongs to. Default NULL.

defaultTheme

Removes grid in plot and sets axis title size to 10 when TRUE. Default TRUE.

dotSize

Size of dots. Default 1.

title

Title of plot. Default NULL.

titleSize

Size of title of plot. Default 18.

xlab

Character vector. Label for x-axis. Default NULL.

ylab

Character vector. Label for y-axis. Default NULL.

axisSize

Size of x/y-axis ticks. Default 12.

axisLabelSize

Size of x/y-axis labels. Default 15.

legendSize

size of legend. Default 10.

combinePlot

Boolean. If multiple plots are generated (multiple samples, etc.), will combined plots using `cowplot::plot_grid`.

sampleRelHeights

If there are multiple samples and combining by "all", the relative heights for each plot.

sampleRelWidths

If there are multiple samples and combining by "all", the relative widths for each plot. Default TRUE.

Value

a ggplot object of the scatter plot.

Examples

data(scExample, package="singleCellTK") sce <- runBarcodeRankDrops(inSCE=sce)
#> Thu May 27 15:38:52 2021 ... Running 'barcodeRanks'
plotBarcodeRankScatter(inSCE=sce)
#> Warning: Transformation introduced infinite values in continuous y-axis